|
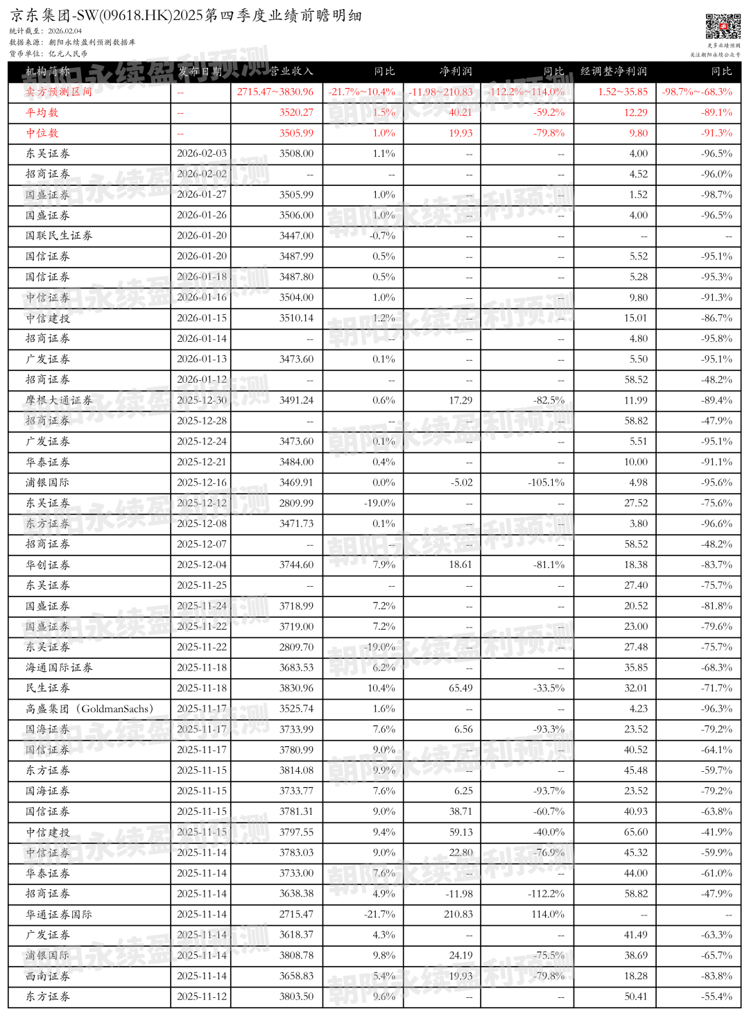
![]() 1. 京东集团-SW第四季度事迹预期如何样? 截止2026年02月04日,阐明向阳永续季度事迹前瞻数据: 预测买卖收入2715.47~3830.96亿元,同比变动-21.7%~10.4%;预测净利润-11.98~210.83亿元,同比变动-112.2%~114.0%;预测经疗养净利润1.52~35.85亿元,同比变动-98.7%~-68.3%。 体恤后续财报数据清楚后能否超预期,向阳永续港股季度事迹前瞻数据将为投资者提供事迹已然。 ![]() 2. 京东集团-SW最新卖方不雅点 东吴证券觉得:京东集团-SW在2025Q4展望竣事营收3508亿元,同比增长1%,但Non-GAAP净利润受零卖业务利润下行及新业务干涉负担。零卖业务收入展望达2981.26亿元,同比下滑2.91%,其中带电品类收入展望同比双位数下滑,非带电品类发扬好于预期。新业务蚀本环比收窄,外卖业务UE改善且单量健康增长。展望2026年公司利润有望确立,外卖业务减亏趋势持续,京喜和海外业务蚀本环比小幅扩大但可控。 分业务来说: 1) 零卖业务:收入展望达2981.26亿元,同比下滑2.91%,其中带电品类收入展望同比双位数下滑,幸运彩非带电品类发扬好于预期。 2) 新业务:蚀本环比收窄,外卖业务UE改善且单量健康增长。 3) 外卖业务:展望2026年单量保管健康增长,UE捏续莳植,蚀本有望进一步收窄。 4) 京喜和海外业务:展望蚀本环比小幅扩大,但公司将加多干涉以拓展恒久增漫空间。 国盛证券觉得:京东集团-SW在2026年国补策略落地后,零卖端需求有望改善。家电及数码3C类居品补贴比例为15%,遮掩雪柜、洗衣机、电视、电脑、滚水器、空调等家电品类,以及手机、平板、智高腕表(手环)、智能眼镜等数码3C品类。由于国补退坡,2025Q4零卖业务收入增速或承压,但2026年有望收复增长。外卖业务通过收入多元化和老本优化,UE有望改善。七鲜小厨加快寰宇化拓展,筹划2026年底前遮掩通盘一二线城市。 (注:本文骨子基于向阳永续AI本事生成,文中相干盈利预测数据均来自向阳永续盈利预测数据库) 风险提醒:本文所示数据或案例仅供参考之用,不行看成夙昔投资依据。投资股票有风险,市集波动、公司事迹、策略身分等齐可能导致股票价钱波动。请您在投资前充分了解相干信息,并阐明自己的风险承受才智作念出投资方案。 更多事迹前瞻数据问答、前瞻及会诊,立即使用AI小二: ]article_adlist--> 网页端:https://aixiaoer.go-goal.cn/
海量资讯、精确解读,尽在新浪财经APP
|




网页端:https://aixiaoer.go-goal.cn/
海量资讯、精确解读,尽在新浪财经APP
备案号: